Dietrich Vollrath, in a Sgt. Joe Friday throwback, has put up something unusual for the day: a quiet, just-the-research-ma’am post exploring the theorized impact of diversity on economic performance. He provides examples of major studies, summarizes the findings, and points out some ways in which those findings, because of research design, might be suspect. In a nod to the recently-ended baseball season, I’ll call this “smallball”: a practical, start-somewhere, move-the-runner approach to a hot issue.
Free-Swinging Cultural Critics
Of course, you might prefer “largeball” – and there is a lot of it out there in the form of post-election analysis and broad-brush, swing-for-the-fences cultural criticism. How is a national culture strengthened or weakened by self-conscious diversity? What does renascent nativism signify? On these questions, you can find some liberal soul-searching (“The End of Identity Liberalism”) by Michael Illa, a conservative told-you-so (“The Crisis for Liberalism”) by Ross Douthat, a shout of defiance from (“Democratic Politics have to be Identity Politics”) Michelle Goldberg, and a sounds-like-Newt post (“The Left needs to get over Multiculturalism”) by Michael Gonzalez.
Gonzalez, to pick the last mentioned, now says that conservatives have never been against a “multiethnic society”; it is “multiculturalism” that is not OK, and it is “assimilation” that makes the difference. While I would classify Gonzalez’s piece as something of a snide rant, he makes the valid point, perhaps unintentionally, that at least in the case of the United States there is a time dimension (call it “assimilation”, or the old term, “melting pot”) that converts raw ethnic heterogeneity into well-digested diversity.
Examples? St. Patrick’s Day, presumably, was once a multicultural affront to WASP America; now the WASPs (and seemingly everybody else) get drunk with the Irish. Bringing this forward, we might say that Cinco de Mayo is noticeably on the way to general inclusiveness and acceptance, while Ramadan and Diwali, even at the pure acceptance level, have a long way to go to catch up with Passover and Yom Kippur.
But might not all these cultural events be on some “balanced growth path” of assimilating (or being assimilated) into the common culture? The majority of Americans don’t celebrate Passover, but most at least know that’s it’s there, many realize that some Jewish families celebrate it in a language other than English, and very few Americans regard Passover as some kind of threatening foreign intrusion. Jews who keep kosher are not considered un-American for doing so. Is there any reason, apart from some parties’ Huntington-esque belief that Muslim culture is inherently incompatible with “western values”, to expect that Ramadan won’t, in time, come to be regarded in the same way as Passover, that veils won’t become as unremarkable as yarmulkes?
I think most people would grant that the passage of time does affect these things, but they would insist that the times affect them, too. Over time, the process of assimilation may be unstoppable, but at a given moment, it’s highly contingent. How it goes depends upon what’s going on.
Let’s set aside this observation and turn instead to how controversies around diversity can surface in economic growth theory.
To set the issue, let me draw a totally unfair parallel. Just, as in the past election, a certain candidate and his followers insisted that social solidarity (whether played out as bathroom politics or an immigration policy) was a requisite to making America great again, some economists, beginning with Easterly and Levine in 1997, have used aspects of growth theory to assert that ethnolinguistic diversity can tilt a society towards economic misery.
The statement I just made is unfair because virtually every economist involved would disavow any such use of their findings. But the parallel, unfortunately, is not pointless, because it is the nature of research of this type – cross-sectional regression studies – to get stood on its head, especially if the subject is politically charged. So, if one person seems to show that diversity vitiates, another will conclude that solidarity strengthens, and all too easily the diversity study becomes a weapon in a completely asymmetrical dispute. One example would be the aforementioned Huntington-esque “Clash of Civilizations” debate that has raged over the same period – another would be an election that revolves around issues of immigration or inclusion.
Diversity Smallball
So how does one weigh in on such a subject without simply adding to the noise? Smallball.
All the studies considered here essentially say that ethnic diversity increases the chance that countries will pursue suboptimal policies that in turn reduce economic growth. To quote from Easterly and Levine’s “Africa’s Growth Tragedy” (1997):
Do higher levels of ethnic diversity encourage poor policies, poor education, political instability, inadequate infrastructure, and other factors associated with slow growth? While debate persists, an assortment of political economy models suggest that polarized societies will be both prone to competitive rent-seeking by the different group and have difficulty agreeing on public goods like infrastructure, education and good polices… Ethnic diversity may increase polarization and thereby impede agreement about the provision of public goods and create positive incentives for growth-reducing policies, such as financial repression and overvalued exchange rates, that create rents for the groups in power at the expense of society at large.
Vollrath does two things in his post:
One, he points out that the causal chain (Diversity/Ethnic Tension à Bad Policies à Lower Growth) assumed by the studies is a matter of interpretation; there is nothing in the studies’ statistical results to rule out other causal chains, say, Bad Policies à Lower Growth à Ethnic Tension. Or, in Vollrath’s twist, Bad Regimes exploit and foster Ethnic Tension to distract critics from Poor Economic Performance.
Two, he deconstructs the “fractionalization” variable that has serves in these studies as the proxy for diversity.
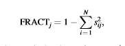
Let’s explore that variable. Fractionalization, a number between zero and one, is simply the probability that, if you pick two individuals randomly from a population, they will come from different groups. The equation (taken from Alesina, et. al, 2003, but used across these studies) goes as follows:

but some numbers may help to show how the equation works. Consider the following two imaginary countries:

In Country 1, when we subtract the sum of the squares of the ethnic group shares from 1, we get a higher number than when we do the same operation for Country 2. Country 1 is more “fractionalized” along ethnic lines. We should care because, as Alesina, et. al. begin, “Ethnic conflict is an important determinant of the political economy of many nations and localities”.
Wait a minute, you say. How do you get from a numerical diversity (fractionalization) to “ethnic conflict”? Some high-fractionalization countries, obviously, do have histories of serious, even violent, ethnic strife; others don’t, and other low-fractionalization countries do. In my mind It’s a weakness of some of these studies that they jump from game-based behavioral evidence, which shows higher levels of distrust among multiethnic panels, to cross-country regressions, where diversity is taken to be indicative of conflict. The authors might respond that it is all in the numbers – for 190 countries, ethnic fractionalization (single, though not same year measurements) negatively correlated (-0.471) with per capita growth over the previous 30 years – but the question still arises as to what, exactly the fractionalization number is supposed to measure. I would observe that the variable does NOT tell us is a lot: it says nothing about whether groups are geographically segregated or intermingled, it says nothing about distribution of income among groups. And a single fractionalization measurement says nothing about how the relationship between diversity, income distribution, or “ethnic conflict” might change over time.
But Vollrath goes much smaller than I go above; he points to basic problems with the fractionalization measure itself. For one thing, it is biased; the more groups you have the higher the potential diversity score, so a high-conflict, highly polarized, black-versus-white situation would score lower on diversity than a country with many small ethnic groups. Or to put it another way, it we divvied up the United States by state, we would get a higher score of “regional” fractionalization than if we did by actual regions (say, Northeast, South, Midwest, West) – yet it’s the same country.
The first problem (sensitivity to the number of groups or components measured) points to a second, greater one with definitions, which are often arbitrary and/or heterogeneous. The US is measured along racial, but Africa along ethnolinguistic lines. And while the studies argue that fractionalization numbers are slow to change, expanding the time scale shows that definitions change even more than populations do. To go back to my St. Paddy’s Day example, Irish immigrants would have been considered a distinct US ethnic group in 1850; they don’t even register today, except as “white”. Finally, once you sort out whether you are measuring fractionalization based on languages spoken (US = 0.25) or religion (US = 0.82) or ethno-racial self-identification (US = 0.49), Vollrath points out that you may very different results depending on what you measure. And it goes on from there – Alesina’s more recent (2016) research adds “birthplace diversity” to the mix, and – did you guess? – it is positively correlated with economic prosperity. So, even if you are inclined to accept “fractionalization” as a valid variable indexing scheme, it’s incumbent upon you, on one side, to be very clear about what type of fractionalization is in play and not to let any one type become a stand-in for “diversity”. On the other side you can’t be content with any one measure of economic performance; per capita growth is not the only story.
But I never could bunt…
For some, Vollrath will have provided more than enough reasons to handle conclusions based on diversity studies with great care, but I, of course, can’t resist a few more comments. Where I might go farther is point to the literature that has questioned the validity of all the research that bases itself on cross-country regressions or growth theory-based convergence assumptions. Some of those questions have come from growth theory’s founding father. Robert Solow (1994, 2000, 2001), whose original specialty was econometrics, has frequently criticized the cross-country regression approach and has also questioned the assumption that the same production function could be valid for industrial and developing countries. Following on Solow, Steven Durlauf (2009) has noted the problems of exchangeability in regression studies. Solow (2001) referred to the probability “very different national economies are not to be explained as if they represent different ‘points’ on some well-defined surface.” Durlauf is more blunt: “Different countries do not represent draws from a common model.”
By this objection, you simply can’t compare, say, African countries that have struggled with border-imposed heterogeneity since statehood ,with the United States, which over its history has successfully integrated many waves of voluntary heterogeneous immigrants and whose economic and political success, without those waves, would be unimaginable. There is no no-heterogeneity-since-Jamestown counterfactual that leads to 325 million people cooperatively producing what remains, by some measures, the world’s largest economy.
Of course, the US national experience also includes plenty of racial and ethnic strife. Robert Fogel, in “The Fourth Great Awakening” (2000), linked populist (and religious) surges in American history to just those “waves” of immigrants. In all these periods, US workers came under wage pressure, and each period saw the emergence of “know nothing” factions with hot agendas around raising tariffs and limiting immigration. That immigrants don’t arrive in constant, optimal, easily-absorbed numbers, that changes in trade patterns create losers as well as winners, that diverse democracies must face and work through these issues is the same as saying that the US has a history. It is not some sign of fundamental economic inefficiency.
From Fogel, “The Fouth Great Awakening”, p. 6o

Just as changing ethnic composition need not be associated with growth failures, growth-inhibiting “bad” policies, such as skewed exchange or interest rates or insufficient provisioning of public goods, can show up for reasons that have nothing to with ethnic or racial diversity. China shows up in every fractionalization table as one of the least diverse places on earth, but in “The Making of Hinterland” (1993), Kenneth Pomeranz argued that, from 1850 to the 1930s, growth-oriented policies at the national level in China led to increased regional fractionalization and marginalization of rural areas. Under pressure to “modernize” from foreign powers, China focused its resources on the industries and new trading cities on its coasts, allowing public works to crumble in the old Grand Canal heartland and opening those provinces to financial exploitation by traditional urban and landowning elites. The virulently anti-foreign Boxer rebellion originated in these areas and the early state Communist revolution found now-backwater Shandong and Hebei to be fertile recruiting grounds.
Apologies if I have over-simplified Pomeranz’s detailed discussion; my point is only that Dietrich Vollrath is not clutching at straws when he states that the causal chains around anti-growth policies can work in a lot of different ways – the causes of (divergent regional) slow growth can even include seemingly pro-growth (national) policies! Cross-country regression studies are best viewed as means to discover interesting associations, not as ways to clinch a hypothesis.
Batting with Two Outs
Does the preceding discussion lead to the conclusion that racial or linguistics or other types of diversity are unimportant (or disallowed) inputs to economic or political analysis? Absolutely not. Questions of diversity and inclusion (or, framed the other way, questions of solidarity and exclusion) are inseparable from the problem of how to make our society and economy work best for most. But the question of how diversity relates to economic performance cannot ignore the dimension of time, which is another way of saying that economic history needs to have a say on this subject along with economic growth theory. In 1960, some thirty years before multitudinous cross-country regression studies began to seek out predictors for economic growth, John Hicks published a reflection on the famous 1958 IEA Corfu conference – the conference that gave us Kaldor’s “stylized facts” (1961) – with the following concluding words:
It is all very well for us to have theories of economic phenomena which constantly repeat themselves – like the formation of prices, the balancing on international payments, even the rise and decline of particular industries. But the long-run growth of an economy is not a thing that repeats itself: it does not repeat itself in different nations; their growth is all part of a single world story. One cannot argue from what did happen in the United States in a certain period so as to establish laws of economic development. All we ought to hope to get from our analysis is a better understanding of what happened in the United States at that time. It is worth our while to construct theoretical models in order to improve our understanding of such phenomena. But the theorist, as such, is only a toolmaker; the explanation of what happened is the historian’s business.
Few, certainly, would go as far as Hicks around the “nonexchangeability” of countries’ growth stories – I can imagine some “capitalism in one country” jokes got told in the wake of his article. For me, it’s his seemingly contrary point about long-run growth being one world story that really gets to the heart of things. First, on “long-run”, to take the case of China, it’s absurd to make economic growth object of an object of study for the thirty-to-fifty-year period for which we happen to have cross-sectional data; China was just as homogeneous in its basket-case years as it has been during its recent efflorescence. This isn’t saying that you have to play ultra-longball like an Oded Galor; it’s just saying that if you are going to look for the causes and inhibitors of China’s growth you need to look at the whole period where it was interacting with economies that were displaying modern growth. It’s this interaction that is the “single world story”, a story that shows old-style trade wars and imperial ambitions combining with new economic forces – and that story seems at least as relevant to “Africa’s Growth Tragedy” as ethnic or linguistics or religious or genetic diversity.
None of this implies that we don’t need economic theory. But we may need a different theory, especially if the thing to be explained is why growth does or doesn’t happen.
As I understand it, mainstream economic growth theory did not begin as an attempt to explain Kaldor’s sixth fact. Robert Solow’s interest, as he explains it, was in the “steady state”, in the question of how modern economic growth sustains itself, not how it began. His aggregate production function was designed to symbolize an aspect of the working of industrialized economies, not the process of industrialization itself. If Solow is correct (and Hicks and Durlauf, when they point to what the latter calls “nonexchangeability”, seem to be taking him seriously), then convergence theory is nonsense and there are no grounds for saying that new economies “should” be growing faster than mature economies. The mathematical properties of a developed-country production function, at the origin, don’t tell us anything about less-developed countries. Of course, when this “should” of less-developed countries growing faster is removed, there is no reason why diversity can’t be help or a hindrance to growth in different situations and at different times.
Was that a whiff or a long ball? In either case, I can’t think of a more important issue to take a swing at than the relationship between diversity and economic hope.
References
Note 1: References are provided for books and journal articles only. Please follow links in text for newspaper or web discussions.
Note 2: It’s difficult in a post that critiques a diversity measure not to convey a monolithic impression of the diversity literature. That impression would be wrong. The survey article of Alesina and La Ferrara (2005) is a strongly recommended corrective.
Note 3: Obviously, no claim is made that Dietrich Vollrath agrees with the thrust of this post or with my characterization of his comments on Fractionalization.
Alesina, Alberto, et al. “Fractionalization”, Journal of Economic Growth 8.2 (2003): 155-194.
Alesina, Alberto, and Eliana La Ferrara, “Ethnic diversity and economic performance”, Journal of Economic Literature, XLIII (2005), pp. 762-800.
Alesina, Alberto, Johann Harnoss, and Hillel Rapoport. “Birthplace diversity and economic prosperity.” Journal of Economic Growth 21.2 (2016): 101-138.
Durlauf, Steven N. “The rise and fall of cross-country growth regressions.” History of Political Economy 41.Suppl 1 (2009): 315-333.
Easterly, William, and Ross Levine. “Africa’s growth tragedy: policies and ethnic divisions.” The Quarterly Journal of Economics (1997): 1203-1250.
Fogel, Robert William. The fourth great awakening and the future of egalitarianism. University of Chicago Press, 2000.
Hicks, John R. “Thoughts on the Theory of Capital-The Corfú Conference.” Oxford Economic Papers 12.2 (1960): 123-132. I found this reference in Toye, John. “Solow in the Tropics.” History of Political Economy 41.Suppl 1 (2009): 221-240.
Kaldor, Nicholas. “Capital accumulation and economic growth.” In Lutz, E.A., (Ed.), The theory of capital. Palgrave Macmillan UK, 1961. 177-222.
Pomeranz, Kenneth. The making of a hinterland: State, society, and economy in inland North China, 1853-1937. Univ of California Press, 1993.
Solow, Robert M., Growth theory: an exposition, Oxford University Press (2000).
Solow, Robert M. “Perspectives on growth theory.” The Journal of Economic Perspectives 8.1 (1994): 45-54.
Solow, Robert M. “Applying growth theory across countries.” The World Bank Economic Review 15.2 (2001): 283-288.